[发布时间]:2010年7月27日
[来源]:电子变压器资讯网
[点击率]:43134
(8)
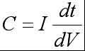
其中,dt等于最慢的瞬态电流的上升时间(低频)。假设有一个2A的瞬态电流,电压整流模块会在15μs内响应。电源分布系统1.8V的电源供电电压保持在5%的范围内。需要的大电容估算是:
(9)
显然,要找到333μF的陶瓷电容是并不容易的。设计者必须找到一个合适的电容,对其进行并联放置以达到所需要的电容和目标阻抗。添加电容的ESL不在去耦中起到主要的作用,但是设计者还是应该尽可能选择比较小的值,这样能够在比较宽的频率范围内减少阻抗。这样有助于减少板上的去耦电容的数量。
投稿箱:
电子变压器、电感器、磁性材料等磁电元件相关的行业、企业新闻稿件需要发表,或进行资讯合作,欢迎联系本网编辑部QQ:

, 邮箱:
info%ett-cn.com (%替换成@)。